信息详情
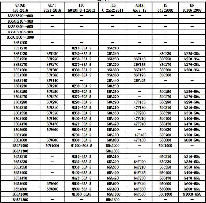
稳定器 电机变频器电工钢B50A1000硅钢 低碳钢矽钢片
¥ 4520/吨
货物所在地上海
产品详情



热门推荐
-
5HV2S、5ХВ2С模具钢
何云飞
-
08ХГСДП合金钢、ЭИ904、09Х15Н8Ю1
何云飞
-
1Cr11MoV圆钢、14Cr11MoV钢板
何云飞
-
30KHN2MFA、38HMJ、30XH2MφA、30XH2MFA、30CrH2MoV
何云飞
-
10Х11Н23Т3МР-ВД、16Х16Н3МАД
何云飞
-
30HN2MFA高强耐压、30HN2VFA耐热抗疲劳、30XH2BФA
何云飞
-
3Х2В8Ф模具钢、 3Х2В8Ф
何云飞
-
X120Mn12含铬高锰、1.3401耐磨导轨、Mn13薄板
何云飞
-
1Mn18Cr18N护环、80Г20Ф2Ю、40Г18Ю3Ф、40ГН13МД2Ф
何云飞
-
25H1MF松弛钢、25Х1МФ耐热钢
何云飞
-
15X25T耐腐蚀耐热钢、 15Х25Т
何云飞
-
45ХН2МФА、45HN2MFA结构钢
何云飞
-
33CrMoV12-9 、32CrMoV12-10、30NiCrMo16、33NiCrMoV15
何云飞
-
30Cr2Ni2WA、05Х12Н5К14М5ТВ、ЭП695
何云飞
-
616钢、617钢、675钢超厚装甲
何云飞
-
40HN2MA、40ХН2МА结构钢
何云飞
-
4X5MFS、Х5МФС模具钢、4H5V2FS、4Х5В2ФС
何云飞
-
30XГCH2A(30XГCHA)、30KhGSN2A (30KhGSNA)
何云飞
-
16Cr3NiWMoVNbE齿轮钢、16Х3НВФМБ、16Kh3NVFMB-SH
何云飞
-
25CrMo4可管可板
何云飞
已经到底了